一、粗格栅
1.设计流量
a.日平均流量
Qd=30000m
3/d≈1250m
3/h=0.347m
3/s=347L/s
K
z取1.40
b. 很大日流量
Qmax=K
z·Q
d=1.40×30000m
3/d=42000 m
3/d =1750m
3/h=0.486m
3/s
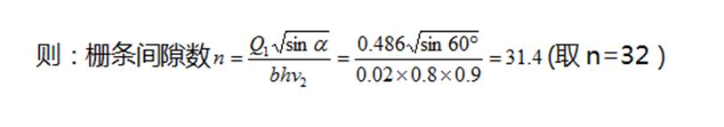
2.栅条的间隙数(n)
设:栅前水深h=0.8m,过栅流速v=0.9m/s,格栅条间隙宽度b=0.02m,格栅倾角α=60°

3.栅槽宽度(B)
设:栅条宽度s=0.015m
则:B=s(n-1)+en=0.015×(32-1)+0.02×32=1.11m
4.进水渠道渐宽部分长度
设:进水渠宽B1=0.9m,渐宽部分展开角α1=20°
5.栅槽与出水渠道连接处的渐窄部分长度(L2)
6.过格栅的水头损失(h1)
设:栅条断面为矩形断面,所以k取3

k—格栅受污物堵塞时水头损失增大倍数,一般为3
h
0--计算水头损失,m
ε--阻力系数,与栅条断面形状有关,当为矩形断面时形状系数β=2.4将β值代入β与ε关系式即可得到阻力系数ε的值
7.栅后槽总高度(H)
设:栅前渠道超高h
2=0.4m
则:栅前槽总高度H
1=h+h
2=0.8+0.4=1.2m
栅后槽总高度H=h+h
1+h
2=0.8+0.18+0.4=1.38m
8.格栅总长度(L)
L=L
1+L
2+0.5+1.0+ H
1/tanα=0.3+0.3+0.5+1.0+1.2/tan60°=2.80m
9. 每日栅渣量(W)
设:单位栅渣量W
1=0.05m
3栅渣/10
3m
3污水

因为W>0.2 m
3/d,所以宜采用机械格栅清渣及皮带输送机或无轴输送机输送栅渣
二、细格栅
1.设计流量Q=30000m
3/d,选取流量系数K
z=1.40则:
很大流量Q
max=1.40×30000m
3/d=0.486m
3/s
2.栅条的间隙数(n)
设:栅前水深h=0.8m,过栅流速v=0.9m/s,格栅条间隙宽度e=0.006m,格栅倾角α=60°
设计两组格栅,每组格栅间隙数n=53
3.栅槽宽度(B)
设:栅条宽度s=0.015m
则:B2=s(n-1)+en=0.015×(53-1)+0.006×53=1.1m
所以总槽宽为1.1×2+0.2=2.4m(考虑中间隔墙厚0.2m)
4.进水渠道渐宽部分长度
设:进水渠宽B1=0.9m,其渐宽部分展开角α1=20°(进水渠道前的流速为0.6m/s)
5.栅槽与出水渠道连接处的渐窄部分长度(L2)
6.过格栅的水头损失(h
1)
设:栅条断面为矩形断面,所以k取3

k—格栅受污物堵塞时水头损失增大倍数,一般为3h0--计算水头损失,m
ε--阻力系数(与栅条断面形状有关,当为矩形断面时形状系数β=2. 42),将β值代入β与ε关系式即可得到阻力系数ε的值。
7.栅后槽总高度(H)
设:栅前渠道超高h
2=0.4m
则:栅前槽总高度H
1=h+h
2=0.8+0.4=1.2m
栅后槽总高度H=h+h
1+h
2=0.8+0.88+0.4=2.08m
8.格栅总长度(L)
L=L
1+L
2+0.5+1.0+ H
1/tanα=0.3+0.3+0.5+1.0+1.2/tan60°=2.8m
9.每日栅渣量(W)
设:单位栅渣量W
1=0.05m
3栅渣/10
3m
3污水

因为W>0.2 m
3/d,所以宜采用机械格栅清渣
三、沉砂池
本设计采用曝气沉砂池是考虑到为污水的后期处理做好准备。建议设两组沉砂池。每组设计流量Q=0.243 m
3/s
(1)池子总有效容积:设t=2min,

(2)水流断面积:
沉砂池设两格,有效水深为2.00m,单格的宽度为1.2m。
(3)池长:
(4)每小时所需空气量q:
设m
3污水所需空气量d=0.2 m
3
q=0.2×0.243×3600=174.96 m
3/h=2.916 m
3/min
(5)沉砂池所需容积:
(6)每个沉砂斗容积

(7)沉砂池上口宽度
(8)沉砂斗有效容积
(9)进水渠道
格栅的出水通过DN1000的管道送入沉砂池的进水渠道,然后向两侧配水进入沉砂池,进水渠道的水流流速

(10)出水装置
出水采用沉砂池末端薄壁出水堰跌落出水,出水堰可保证沉砂池内水位标高恒定,堰上水头

四
、辐流沉淀池
设计中选择两组辐流沉淀池,N=2组,每组平流沉淀池设计流量为0.243m3/s ,从沉砂池流来的污水进入配水井,经过配水井分配流量后流入平流沉淀池
1.沉淀部分有效面积

2.沉淀池有效水深
3.沉淀池直径

4.污泥所需容积
辐流沉淀池采用周边传动刮泥机,周边传动刮泥机的线速度为2-3m/min,将污泥推入污泥斗,然后用进水压力将污泥排除池外。
5.污泥斗容积
辐流沉淀池采用周边传动刮泥机,池底需做成2%的坡度,刮泥机连续转动将污泥推入污泥斗,设计中选择矩形污泥斗,污泥斗上口尺寸2mx2m,底部尺寸0.5mx0.5m,倾角为60度,有效高度1.35m
6.沉淀池总高度

7.进水配水井

沉淀池分为两组,每组分为4格,每组沉淀池进水端设进水配水井,污水在配水井内平均分配,然后流进每组沉淀池。
配水井内中心管直径
8.进水渠道
沉淀池分为两组,每组沉淀池进水端设进水渠道,配水井接出的DN800进水管从进水渠道中部汇入,污水沿进水渠道向两侧流动,通过潜孔进入配水渠道,然后由穿孔花墙流入沉淀池。

9.进水穿孔花墙
进水采用配水渠道通过穿孔花墙进水,配水渠道宽0.5m,有效水深0.8m,穿孔花墙的开孔总面积为过水断面6%-20%,则过孔流速为
10.出水堰
沉淀池出水经过出水堰跌落进入出水渠道,然后汇入出水管道排走。出水堰采用矩形薄壁堰,堰后自由跌落水头0.1-0.15m,堰上水深H为

出水堰后自由跌落采用0.15m,则出水堰水头损失为0.185m
11.出水渠道
沉淀池出水端设出水渠道,出水管与出水渠道连接,将污水送至集水井。
<img alt=" height=" 229"="" data-cke-saved-src="/pic/wsjisuanshu/image034.png" src="/pic/wsjisuanshu/image034.png" width="909">
出水管道采用钢管,管径DN=800mm,管内流速v=0.64m/s,水力坡降i=0.479%。
12.进水挡板 出水挡板
沉淀池设进水挡板和出水挡板,进水挡板距进水穿孔花墙0.5m,挡板高出水面0.3m,伸入水下0.8m,出水挡板距出水堰0.5m,挡板高出水面0.3m,伸入水下0.5m,在出水挡板处设一个浮渣收集装置,用来收集拦截的浮渣。
13.排泥管
沉淀池采用重力排泥,排泥管直径DN300mm,排泥时间20min,排泥管流速0.82m/s,排泥管伸入污泥斗底部。排泥管上端高出水面0.3m,便于清通和排气。
14.刮泥装置
沉淀池采用行车式刮泥机,刮泥机设于池顶,刮板伸入池底,刮泥机行走时将污泥推入污泥斗内。
五
、污水的生物处理
污水生物处理的设计条件为:
进入曝气池的平均流量Q=30000m3/d,很大设计流量Qs=0.486L/s
污水中的BOD5浓度为250mg/L,假定一级处理对BOD5的去除率为25%,则进入曝气池中污水的BOD5浓度为187.5mg/L
污水中SS浓度为250mg/L,假定一级处理对SS的去除率为50%,则进入曝气池中污水的SS浓度为125mg/L
污水中TN浓度为40mg/L,TP浓度为5mg/L,水温T=20。
1.污水处理程度计算
按照污水处理程度计算,污水经二级处理后,出水浓度BOD5浓度小于20mg/L,SS浓度小于20mg/L。由此确定污水处理程度为:

2.设计参数
(1)BOD5污泥负荷率

(2)曝气池内混合液污泥浓度
3.平面尺寸计算
(1)曝气池的有效容积
(2)单座曝气池面积
(3)曝气池长度
(4)曝气池总高度
4.进出水系统
(1)曝气池进水设计
初沉池的出水通过DN1000mm的管道送入曝气池进水渠道,然后向两侧配水,污水在管道内的流速

在两组曝气池之间设中间配水渠,污水通过中间配水渠可以流入后配水渠,
在前后配水渠之间都设配水口,孔口尺寸为0.5m*0.5m,可以实现多点进水。
中间配水渠宽1.0m,有效水深1.0m,则渠内很大流速为:
设计中取中间配水渠超高为0.3m,则渠道总高:1.0+0.3=1.3m
(2) 曝气池出水设计
曝气池出水采用矩形薄壁堰,跌落出水,堰上水头

每组曝气池的出水管管径为800mm管内流速为0.48m/s,两条出水管汇成一条直径为DN1000mm的总管,送往二次沉淀池,总管内流速为0.61m/s。
5.其他管道设计
(1)中位管
曝气池中部设中位管,在活性污泥培养驯化时排放上清液。中位管管径为DN600mm。
(2)放空管
曝气池检修时,需要将水放空,因此应在曝气池底部设放空管,放空管管径为DN500mm。
(3)污泥回流管
二沉池的污泥需要回流至曝气管首端,因此应设污泥回流管,污泥回流管管径
六、二沉池计算
本次设计二沉池采用辐流沉淀池,辐流沉淀池一般采用对称布置,配水采用集配水井,这样各池之间配水均匀,结构紧凑。辐流式沉淀池排泥机械已定型化,运行效果好,管理方便。辐流式沉淀池适用于大.中型污水厂。
设计中选择二组辐流沉淀池,N=2,每次设计流量为0.243/s,从曝气池流出的混合液进入集配水井,经过集配水井分配流量后很后流进辐流沉淀池。
1.沉淀池表面积

2.沉淀池直径

3.沉淀池有效水深

4.径深比
5.污泥部分所需容积

6.沉淀池总高度
7.进水管的计算

8.进水竖井计算
进水竖井直径采用D2=2.0m;
进水竖井采用多孔配水,配水尺寸a,共设4个沿井壁均匀分布。

9.稳流筒计算
10.出水槽计算
采用双边90三角堰出水槽集水,出水槽沿池壁环形布置,环形槽中水流由左右两侧汇入出水口。
每侧流量:
设计中取出水堰自由跌落0.1m,集水槽高度:0.1+0.37=0.47m,取0.5m,
则集水槽断面尺寸0.6m。
11.出水堰计算
根据规定二沉池出水堰上负荷在1.5-2.9L/(s*m)之间,计算结果符合要求。
12.出水管
出水管管径D=600mm
13.排泥装置
沉淀池采用周边传动刮吸泥机,周边传动刮吸泥机的线速度为2-3m/min,刮吸泥机底部设有刮泥板和吸泥管,利用静水压力将污泥吸入污泥槽,沿进水竖井中的排泥管将污泥排除池外。
排泥管管径500mm,回流污泥量 179.2L/s,流速0.92m/s。
14.集配水井的设计计算
(1)配水井中心管直径

(2)配水井直径

(3)集水井直径

(4)进水管管径
取进入二沉池的管径DN=600mm。
校核流速:

(5)出水管管径
由前面结果可知,DN=600mm,v=0.85m/s。
(6)总出水管
取出水管管径DN=800mm,集配水井内设有超越闸门,以便超越。
七、消毒设施计算
污水经过以上构筑物处理后,虽然水质得到了改善,细菌数量也大幅减少,但是细菌的绝对值依然十分可观,并存在病原菌的可能。因此污水在排放水体前,应进行消毒处理。
1.消毒剂的选择
污水消毒的主要方法是向污水中投加消毒剂,目前用于污水消毒的常用消毒剂主要有液氯、次氯酸钠、臭氧、二氧化氯、紫外线。由原始资料可知,该水厂规模中等,受纳水体卫生条件无特殊要求,设计中采用液氯作为消毒剂对污水进行消毒。
2.消毒剂的投加
(1)加氯量计算
二级处理出水采用液氯消毒时,液氯投加量一般为5-10mg/L,本设计中液氯投量采用7.0mg/L。每日加氯量为:

(2)加氯设备
液氯由真空转子加氯机加入,设计二台,采用一用一备。
每小时加氯量:293.93/24=12.2Kg/d
设计中采用ZJ-1型转子加氯机。
3.平流式消毒接触池
本设计采用2个3廊道平流式消毒接触池,单池设计计算如下:
(1)消毒接触池容积

(2)消毒接触池表面积
(3)消毒接触池池长:
(4)池高
(5)进水部分
每个消毒接触池的进水管管径D=600mm,v=1.0m/s。
(6)混合
采用管道混合的方式,加氯管线直接接入消毒接触池进水管,为增强混合效果,加氯点后接D=600mm的静态混合器。
(7)出水部分
八、污泥处理构筑物设计计算
污水处理厂在处理污水的同时,每日要产生大量的污泥,这些污泥若不进行有效处理,必然对环境造成二次污染。这些污泥按其来源可分为初沉污泥和剩余污泥。
初沉污泥是来自于初次沉淀池的污泥,污泥含水率较低,一般不需要浓缩处理,可直接进行消化、脱水处理。
剩余污泥来源于曝气池,活性污泥微生物在降解有机物的同时自身污泥量也在不断增长,为保持曝气池内污泥量的平衡,每日增加的污泥量必须排出处理系统,这一部分被称作剩余污泥。剩余污泥含水率较高,需要先进行浓缩处理,然后进行消化、脱水处理。
1、初沉池污泥量计算
由前面资料可知,初沉池采用间歇排泥的运作方式,每4小时排一次泥。
(1)、按水中悬浮物计算
2、剩余污泥量计算
(1)曝气池内每日增加的污泥量

(2)曝气池每日排出的剩余污泥量
3、辐流浓缩池
污泥浓缩的对象是颗粒间的空隙水,浓缩的目的在于缩小污泥的体积,便于后续污泥处理,常用污泥浓缩池分为竖流浓缩池和辐流浓缩池两种,设计中一般采用辐流浓缩池。浓缩前污泥量含水率97%,浓缩后污泥含水率97%.
进入浓缩池的剩余污泥量0.0027m3/s=9.72m3/h
(1)、沉淀池有效部分面积
(2)、沉淀池直径
(3)、浓缩池的容积

(4)、沉淀池有效水深
(5)、浓缩后剩余污泥量
(6)、池底高度
辐流沉淀池采用中心驱动刮泥机,池底需做成1%的坡度,刮泥机连续转动将污泥推入污泥斗。池底高度
(7)、污泥斗容积

(8)、浓缩池总高度

(9)、浓缩后分离出的污水量
(10)、溢流堰
浓缩池溢流堰出水经过溢流堰进入出水槽,然后汇入出水管排出。出水槽流量q=0.0018m3/s,设出水槽款0.2m,水深0.05m,则水流流速为0.18m/s。
溢流堰周长

(11)、溢流管
溢流水量0.0018m3/s,设溢流管管径DN100mm,管内流速v=0.23m/s
(12)、刮泥装置
浓缩池采用中心驱动刮泥机,刮泥机底部设有刮泥板,将污泥推入污泥斗。
(13)、排泥管
剩余污泥量0.0009m3/s,泥量很小,采用污泥管道很小管径DN150mm。间歇将污泥排入贮泥池。
4、贮泥池
贮泥池用来贮存来自初沉池和浓缩池的污泥。由于污泥量不大,本设计采用1座贮泥池,贮泥池采用竖流沉淀池构造。
(1)、贮泥池设计进泥量
(2)、贮泥池的容积

贮泥池设计容积

(3)、贮泥池高度: