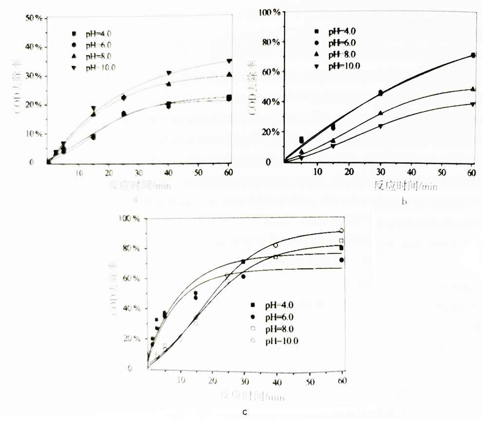
pH对活性炭臭氧氧化污染物过程中去除COD的影响
pH对单独臭氧氧化过程、GAC吸附污染物过程中去除COD、活性炭臭氧氧化污染物过程中去除COD的影响
非均相臭氧氧化过程中的常见催化剂有金属氧化物催化剂、碳基材料催化剂等。到目前为止,各种金属基催化剂(如MnO2、CuO、ZnO等)在非均相催化臭氧氧化方面表现出良好的性能,但金属溶出限制了它们在水处理中的实际应用。碳基材料催化臭氧氧化作为一种高效的高级氧化水处理方法而备受关注。其中活性炭是一种黑色多孔材料,具有丰富的孔隙结构、较大的比表面积和良好的吸附性能,能有效促进臭氧和有机物吸附到催化剂表面,提高有机物的降解速率。活性炭具有价格低廉、催化活性高和稳定性较好等优点,并且其自身就具有催化臭氧分解生成羟基自由基的作用,常被用作臭氧催化氧化的催化剂,在废水处理领域具有良好的应用前景。
哈尔滨工业大学课题组等对商业颗?;钚蕴浚℅AC)进行研磨,筛选出2~3mm的GAC,然后洗涤、干燥,并探究了其在催化臭氧氧化降解对硝基苯酚(PNP)过程中的活性及反应机制。
由图2-2-1a可看出,在酸性条件下,单独臭氧氧化PNP的速率受到了限制,随着pH的升高,单独臭氧氧化PNP的速率加快。此种现象说明,在酸性条件下臭氧分子直接攻击PNP的氧化效率较低;在碱性条件下,OH¯促进O3分解产生·OH,从而提高了降解速率。由图2-2-1b可以看出,GAC吸附污染物的效率随着pH的升高而降低。在酸性条件下,GAC吸附污染物起主导作用,而催化臭氧氧化过程(图2-2-1c)主要在碱性条件下起作用。由于反应机制不同,碱性条件下溶液COD降解曲线的趋势与酸性条件的不同。在酸性条件下吸附起主导作用,GAC快速吸附污染物导致COD的去除。因此在酸性条件下,反应的初始阶段去除有机物速率较快。而在碱性条件下,反应是基于·OH氧化等一系列自由基反应过程进行的,由于·OH的亲电攻击,PNP迅速转化为中间体,因此,在碱性条件下刚开始阶段去除有机物的速率较慢,在反应后期逐渐变快。
图2-2-1 pH对(a)单独臭氧氧化过程(b)GAC吸附污染物过程中去除COD(c)活性炭臭氧氧化污染物过程中去除COD的影响
该工作检测了液相臭氧浓度随反应的变化。在图2-2-2a中,溶解的吴氧浓度在前10~15min迅速增加,然后逐渐趋于平稳。在溶液pH10.0的平衡臭氧浓度远低于pH4.0,说明在碱性条件下OH¯浓度的增加促进了臭氧分解。在臭氧氧化过程中,过氧化氢(H?0?)通常是由臭氧分解或臭氧直接攻击芳香环的过程中产生的。如图2-2-2a所示,H?O?浓度在开始的10min内迅速增加,然后逐渐降低。在给定的时间内,pH≥10.0时H?O?的浓度低于pH≥4.0时,这表明在碱性条件下更有利于过氧化气分解产生自由基,从而促进了PNP的氧化去除。
更进一步,为了探究不同pH下·OH对污染物降解的作用,该工作进行了以t-BAt - BA为·OH淬灭剂的自由基抑制实验。如图2-2-2b所示,在酸性条件下,t-BA对反应过程儿乎不产生影响,表明在酸性溶液中,·OH氧化不起主导作用。在溶液H 为10.0的条件时,向体系中加入t-BA会显著降低反应速率,说明在破性条件下主要是·OH 图2-2-3为不同阳条件下,GAC表面主要反应的示意。
{臭氧剂量为2.53g/h,GAC剂量为10g/L;反应温度为25℃,[初始COD]=1560mg/L}
图2-2-2(a)溶解的O?和H?O,浓度;(b)t-BA对GAC催化臭氧氧化PNP的影响
{臭氧剂量为2.53g/h,CAC剂量为10g/L,反应温度为25℃;[初始PNP]=1000mg/L;[t-BA]=0.16 mol/L

图2-2-2GAC表面主要反应的示意
在酸性条件下,GAC的吸附作用导致COD浓度迅速降低。在碱性条件下,活性炭与臭氧氧化过程显示出强大的协同作用,活性炭催化臭氧和过氧化氢催化分解产生·OH,从而提高了污染物去除率。主要反应过程如式(2-2-1)至式(2-2-8)所示:
有机物+O?→中间产物+H?O, (2-2-1)
H?O?→HO?¯+H+ (2-2-2)
HO?¯+O?,→HO?·+O?·¯ (2-2-3)
O?+H?O+2e¯→O?·¯+2OH¯ (2-2-4)
O?+OH¯→O?·¯+HO?· (2-2-5)
O?+HO?·→2O?·+HO· (2-2-6)
GAC+2H?O→GAC-H?O+ +OH¯ (2-2-7)
O?+GAC-H?O→O?-GAC+HO· (2-2-8)